Dokterkecil D
01 Februari 2023 13:40
Iklan
Dokterkecil D
01 Februari 2023 13:40
Pertanyaan

2
1
Iklan
P. Tessalonika
Mahasiswa/Alumni Universitas Negeri Medan
02 Februari 2023 02:52
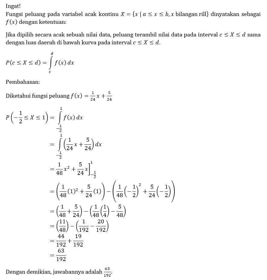
Jawabannya adalah 63/192.
Perhatikan pembahasan berikut ya.
(jawaban terlampir)

· 0.0 (0)
Iklan
Tanya ke AiRIS
Yuk, cobain chat dan belajar bareng AiRIS, teman pintarmu!

LATIHAN SOAL GRATIS!
Drill Soal
Latihan soal sesuai topik yang kamu mau untuk persiapan ujian


Perdalam pemahamanmu bersama Master Teacher
di sesi Live Teaching, GRATIS!