Tata V
14 Juni 2023 00:58
Iklan
Tata V
14 Juni 2023 00:58
Pertanyaan
4
1
Iklan
M Z

Community
14 Juni 2023 09:19
Hai Tata, aku coba bantu jawab ya! :D
Jawaban: D. CH3 - CH2 - CH2 - C(CH3) = CH2
Penjelasan:
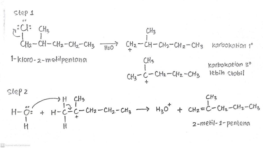
Mekanisme E1 adalah mekanisme reaksi eliminiasi unimolekuler. Syarat dapat terjadinya reaksi E1 adalah adanya atom hidrogen di sebelah posisi leaving group yang dapat dieliminasi. Pada mekanisme E1 ada dua tahapan, yakni tahap yang pertama adalah lepasnya gugus pergi lalu menghasilkan karbokation dan tahap yang kedua adalah deprotonasi karbokation. Berikut adalah tahapan mekanisme reaksinya.

· 5.0 (1)
Iklan
Tanya ke AiRIS
Yuk, cobain chat dan belajar bareng AiRIS, teman pintarmu!

LATIHAN SOAL GRATIS!
Drill Soal
Latihan soal sesuai topik yang kamu mau untuk persiapan ujian


Perdalam pemahamanmu bersama Master Teacher
di sesi Live Teaching, GRATIS!