Kim J
20 Maret 2022 14:06
Iklan
Kim J
20 Maret 2022 14:06
Pertanyaan
10
2
Iklan
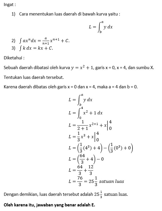
D. Adinda
28 Maret 2022 14:01

· 3.0 (1)
Iklan
Intan N
12 Desember 2023 15:30
E.
· 0.0 (0)
Tanya ke AiRIS
Yuk, cobain chat dan belajar bareng AiRIS, teman pintarmu!

LATIHAN SOAL GRATIS!
Drill Soal
Latihan soal sesuai topik yang kamu mau untuk persiapan ujian


Perdalam pemahamanmu bersama Master Teacher
di sesi Live Teaching, GRATIS!