Zidan A
31 Juli 2020 17:18
Iklan
Zidan A
31 Juli 2020 17:18
Pertanyaan
4
1
Iklan
T. TeachingAssistant.Sonia
10 Maret 2023 08:34
Jawabannya adalah ∞, ya.
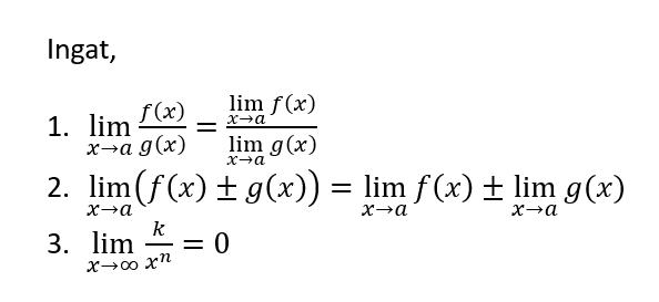
Untuk menyelesaikan limit di ats bisa menggunakan bagi pangkat tertinggi pada penyebut.
Perhatikan pembahasan pada gambar di bawah ini.
Jadi diperoleh hasil limit di atas adalah ∞.


· 0.0 (0)
Iklan
Tanya ke AiRIS
Yuk, cobain chat dan belajar bareng AiRIS, teman pintarmu!

LATIHAN SOAL GRATIS!
Drill Soal
Latihan soal sesuai topik yang kamu mau untuk persiapan ujian


Perdalam pemahamanmu bersama Master Teacher
di sesi Live Teaching, GRATIS!