Afriza N
23 Maret 2022 15:32
Iklan
Afriza N
23 Maret 2022 15:32
Pertanyaan
17
1
Iklan
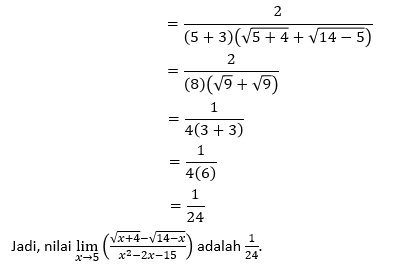
Z. Apriani
Mahasiswa/Alumni Institut Teknologi Bandung
23 Maret 2022 17:29
· 0.0 (0)
Iklan
Tanya ke AiRIS
Yuk, cobain chat dan belajar bareng AiRIS, teman pintarmu!

LATIHAN SOAL GRATIS!
Drill Soal
Latihan soal sesuai topik yang kamu mau untuk persiapan ujian


Perdalam pemahamanmu bersama Master Teacher
di sesi Live Teaching, GRATIS!