Tita A
03 Februari 2022 00:19
Iklan
Tita A
03 Februari 2022 00:19
Pertanyaan
1
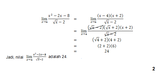
2
Iklan
I. Roy
Mahasiswa/Alumni Universitas Negeri Surabaya
05 Februari 2022 03:47


· 5.0 (1)
Iklan
Grace S
08 Juni 2023 01:19
· 3.0 (2)
Arico C
18 April 2024 01:08
Jwabn Slahh
Tanya ke AiRIS
Yuk, cobain chat dan belajar bareng AiRIS, teman pintarmu!

LATIHAN SOAL GRATIS!
Drill Soal
Latihan soal sesuai topik yang kamu mau untuk persiapan ujian


Perdalam pemahamanmu bersama Master Teacher
di sesi Live Teaching, GRATIS!