Roy H
06 Desember 2021 06:29
Iklan
Roy H
06 Desember 2021 06:29
Pertanyaan
1
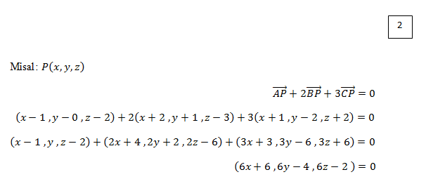
2
Iklan
P. Anggraini
Mahasiswa/Alumni Universitas Lampung
19 Desember 2021 14:47
· 2.0 (2)
Iklan
Romaito S
11 Mei 2024 13:40
· 0.0 (0)
Tanya ke AiRIS
Yuk, cobain chat dan belajar bareng AiRIS, teman pintarmu!

LATIHAN SOAL GRATIS!
Drill Soal
Latihan soal sesuai topik yang kamu mau untuk persiapan ujian


Perdalam pemahamanmu bersama Master Teacher
di sesi Live Teaching, GRATIS!