Jojo J
22 November 2021 12:45
Iklan
Jojo J
22 November 2021 12:45
Pertanyaan
1
2
Iklan
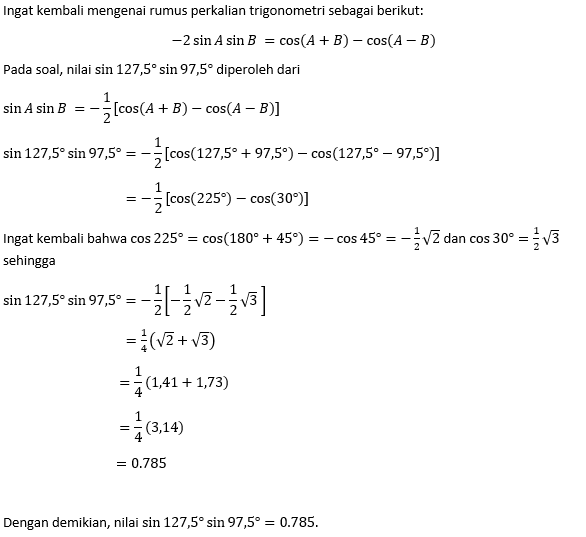
M. Mariyam
Mahasiswa/Alumni Institut Pertanian Bogor
26 November 2021 22:45
· 5.0 (1)
Iklan
Eko S
22 November 2021 12:58
· 5.0 (2)
Jojo J
22 November 2021 14:48
baik Kak terima kasih 🙏
Tanya ke AiRIS
Yuk, cobain chat dan belajar bareng AiRIS, teman pintarmu!

LATIHAN SOAL GRATIS!
Drill Soal
Latihan soal sesuai topik yang kamu mau untuk persiapan ujian


Perdalam pemahamanmu bersama Master Teacher
di sesi Live Teaching, GRATIS!