Setang P
07 Februari 2022 04:24
Iklan
Setang P
07 Februari 2022 04:24
Pertanyaan
7
1
Iklan
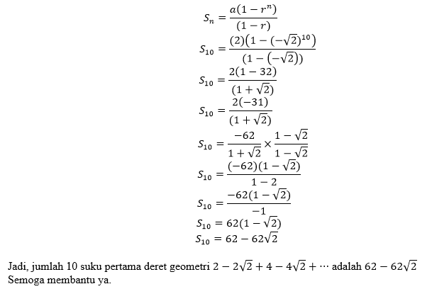
A. Meylin
Mahasiswa/Alumni Universitas Airlangga
02 Maret 2022 03:45


· 4.1 (13)
Iklan
Tanya ke AiRIS
Yuk, cobain chat dan belajar bareng AiRIS, teman pintarmu!

LATIHAN SOAL GRATIS!
Drill Soal
Latihan soal sesuai topik yang kamu mau untuk persiapan ujian


Perdalam pemahamanmu bersama Master Teacher
di sesi Live Teaching, GRATIS!