Denara A
07 Oktober 2021 11:19
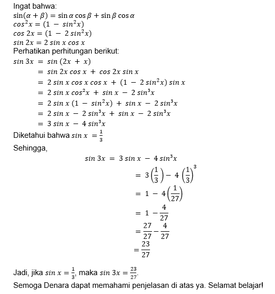
Iklan
Denara A
07 Oktober 2021 11:19
Pertanyaan
8
1
Iklan
S. Yoga
Mahasiswa/Alumni Universitas Pendidikan Indonesia
18 Oktober 2021 15:01
%20(1)%20(2)%20(7)%20(1)%20(3)%20(7)%20(5).png?convert=png)
· 5.0 (3)
Iklan
Tanya ke AiRIS
Yuk, cobain chat dan belajar bareng AiRIS, teman pintarmu!

LATIHAN SOAL GRATIS!
Drill Soal
Latihan soal sesuai topik yang kamu mau untuk persiapan ujian


Perdalam pemahamanmu bersama Master Teacher
di sesi Live Teaching, GRATIS!