Esya N
15 Oktober 2021 06:03
Iklan
Esya N
15 Oktober 2021 06:03
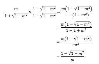
Pertanyaan
2
1
Iklan
S. Eka
Mahasiswa/Alumni Universitas Pendidikan Indonesia
29 Oktober 2021 05:19
· 5.0 (1)
Iklan
Tanya ke AiRIS
Yuk, cobain chat dan belajar bareng AiRIS, teman pintarmu!

LATIHAN SOAL GRATIS!
Drill Soal
Latihan soal sesuai topik yang kamu mau untuk persiapan ujian


Perdalam pemahamanmu bersama Master Teacher
di sesi Live Teaching, GRATIS!