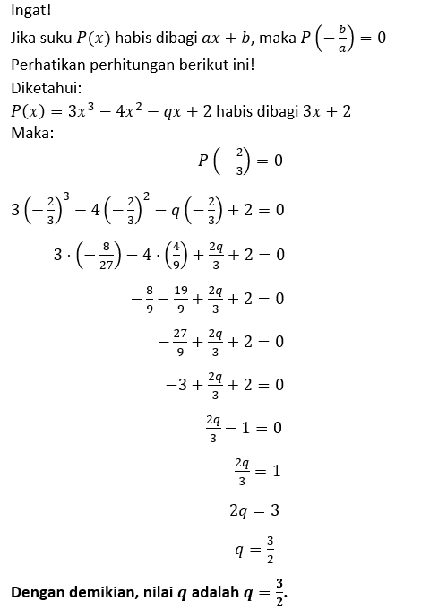
YEDERIUS W
27 April 2022 13:48
Iklan
YEDERIUS W
27 April 2022 13:48
Pertanyaan
1
1
Iklan
L. Rante
Mahasiswa/Alumni Universitas Negeri Makassar
28 April 2022 07:03

· 0.0 (0)
Nathania P
09 Juni 2025 16:26
maaf kak izin mengoreksi, ada kesalahan di perkalian 4×4 seharusnya 16 bukan 19 sehingga jawaban yang benar adalah q=1
Iklan
Tanya ke AiRIS
Yuk, cobain chat dan belajar bareng AiRIS, teman pintarmu!

LATIHAN SOAL GRATIS!
Drill Soal
Latihan soal sesuai topik yang kamu mau untuk persiapan ujian


Perdalam pemahamanmu bersama Master Teacher
di sesi Live Teaching, GRATIS!