Anonim A
17 Maret 2023 12:16
Iklan
Anonim A
17 Maret 2023 12:16
Pertanyaan
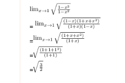
Jawablah dengan tepat soal berikut!

2
1
Iklan
Dewi M
17 Maret 2023 13:07
Semoga bisa membantu ya

· 0.0 (0)
Iklan
Tanya ke AiRIS
Yuk, cobain chat dan belajar bareng AiRIS, teman pintarmu!

LATIHAN SOAL GRATIS!
Drill Soal
Latihan soal sesuai topik yang kamu mau untuk persiapan ujian


Perdalam pemahamanmu bersama Master Teacher
di sesi Live Teaching, GRATIS!