Blackie B

11 Agustus 2025 21:00
Iklan
Blackie B

11 Agustus 2025 21:00
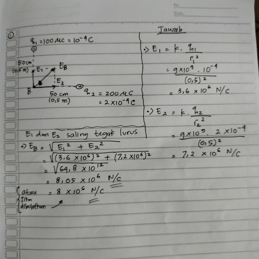
Pertanyaan
Jawablah dengan rinci, terima kasih

1
3
Iklan
T. Asistant
12 Agustus 2025 03:33

· 0.0 (0)
Iklan
Nufazil A
12 Agustus 2025 12:17
່828
HHshjsjsja

· 0.0 (0)
Ellavya E
19 Agustus 2025 09:22
bingung ka,nonton youtub aja
· 0.0 (0)
Tanya ke AiRIS
Yuk, cobain chat dan belajar bareng AiRIS, teman pintarmu!

LATIHAN SOAL GRATIS!
Drill Soal
Latihan soal sesuai topik yang kamu mau untuk persiapan ujian


Perdalam pemahamanmu bersama Master Teacher
di sesi Live Teaching, GRATIS!