Mochamad A

10 September 2025 17:04
Iklan
Mochamad A

10 September 2025 17:04
Pertanyaan
Jawab cepat dan jelaskan dengan benar

5
3
Iklan
T. Asistant
11 September 2025 03:26

· 5.0 (1)
Iklan
Fachri L
17 September 2025 12:56
Jawaban adalah E
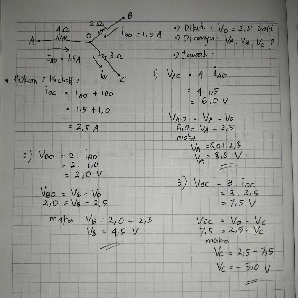
Va = 8,5 V ; Vb= 4.5 V; Vc=-50 V
Penjelasan
1. Berlaky hukum 1 kirchoff untuk arus pada rangkaian yaitu: i masum = i keluar
2. Sesuai arah arus maka Vbo = Vb-Vo ;Vao= Va-Vo:dan Voc= Vo - Vc
· 0.0 (0)
Ahmad M
18 September 2025 12:29
.
· 0.0 (0)
Tanya ke AiRIS
Yuk, cobain chat dan belajar bareng AiRIS, teman pintarmu!

LATIHAN SOAL GRATIS!
Drill Soal
Latihan soal sesuai topik yang kamu mau untuk persiapan ujian


Perdalam pemahamanmu bersama Master Teacher
di sesi Live Teaching, GRATIS!