Skylar A
27 Januari 2023 14:43
Iklan
Skylar A
27 Januari 2023 14:43
Pertanyaan
2
1
Iklan
Y. Frando
03 Agustus 2023 06:58
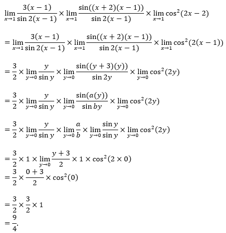
Jawaban yang benar adalah 9/4.
Pembahasan:
Limit adalah suatu batas yang menggunakan konsep pendekatan fungsi. Ingat konsep berikut:
lim x→0 (x/sin (x)) = 1 dan lim x→0 (sin (x)/sin (x)) = 1.
Berdasarkan penjelasan di atas, ketika x = 1 disubstitusi ke fungsi limit diperoleh bentuk tak tentu 0/0, sehingga dilakukan prosedur penyelesaian lain seperti pada foto di bawah.
Jadi, nilai dari limit fungsi trigonometri tersebut adalah 9/4.


· 0.0 (0)
Iklan
Tanya ke AiRIS
Yuk, cobain chat dan belajar bareng AiRIS, teman pintarmu!

LATIHAN SOAL GRATIS!
Drill Soal
Latihan soal sesuai topik yang kamu mau untuk persiapan ujian


Perdalam pemahamanmu bersama Master Teacher
di sesi Live Teaching, GRATIS!