Fatima N
28 Januari 2023 07:05
Iklan
Fatima N
28 Januari 2023 07:05
Pertanyaan

1
1
Iklan
T. Prita
Mahasiswa/Alumni Universitas Jember
07 Agustus 2023 08:44
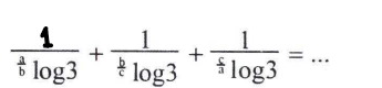
Jawaban yang benar adalah 0.
Perhatikan konsep berikut.
1/alogb = bloga
alogb + alogc = alog(b x c)
alogbm = m x alogb
aloga = 1
Sehingga:
[1/(a/blog3)] + [1/(b/clog3)] + [1/(c/alog3)]
= 3loga/b + 3logb/c + 3logc/a
= 3log(a/b x b/c x c/a)
= 3log1
= 0
Jadi, jawabannya adalah 0.
Semoga membantu ya, semangat belajar :)
· 0.0 (0)
Iklan
Tanya ke AiRIS
Yuk, cobain chat dan belajar bareng AiRIS, teman pintarmu!

LATIHAN SOAL GRATIS!
Drill Soal
Latihan soal sesuai topik yang kamu mau untuk persiapan ujian


Perdalam pemahamanmu bersama Master Teacher
di sesi Live Teaching, GRATIS!