Nadya S
10 Juni 2022 05:23
Iklan
Nadya S
10 Juni 2022 05:23
Pertanyaan
1
1
Iklan
R. Amalia
25 Oktober 2022 07:52
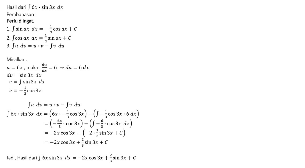
Jawaban : Hasil dari ∫ 6x⋅sin 3x dx = (-2x cos3x) + ((2/3) (sin3x)) + C
Pembahasan:
Pembahasan dari pertanyaan di atas dapat dilihat pada gambar terlampir

· 0.0 (0)
Iklan
Tanya ke AiRIS
Yuk, cobain chat dan belajar bareng AiRIS, teman pintarmu!

LATIHAN SOAL GRATIS!
Drill Soal
Latihan soal sesuai topik yang kamu mau untuk persiapan ujian


Perdalam pemahamanmu bersama Master Teacher
di sesi Live Teaching, GRATIS!