Teguh S
25 Juni 2022 16:13
Iklan
Teguh S
25 Juni 2022 16:13
Pertanyaan
1
1
Iklan
D. Yurmalia
11 Januari 2023 07:08
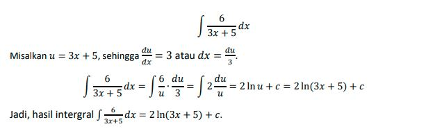
Jawaban yang benar adalah d. 2ln(3x+5)+C.
· 0.0 (0)
Iklan
Tanya ke AiRIS
Yuk, cobain chat dan belajar bareng AiRIS, teman pintarmu!

LATIHAN SOAL GRATIS!
Drill Soal
Latihan soal sesuai topik yang kamu mau untuk persiapan ujian


Perdalam pemahamanmu bersama Master Teacher
di sesi Live Teaching, GRATIS!