Ulfah S
16 Desember 2021 03:51
Iklan
Ulfah S
16 Desember 2021 03:51
Pertanyaan
4
1
Iklan
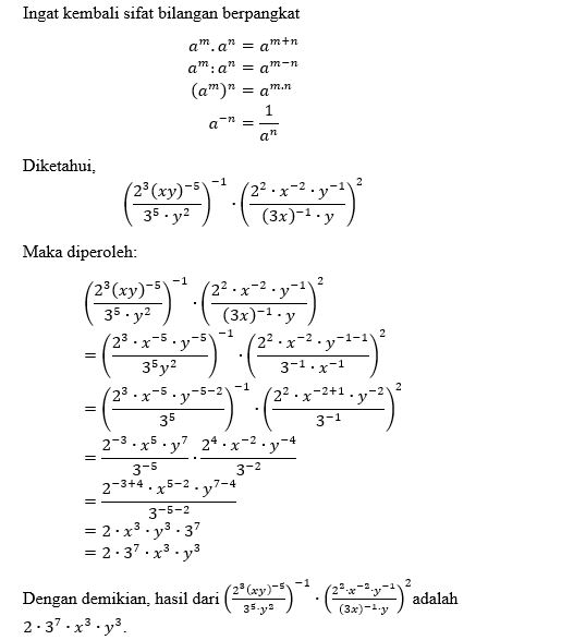
N. Supriyaningsih
Mahasiswa/Alumni Universitas Kristen Setya Wacana
19 Desember 2021 10:10
· 0.0 (0)
Iklan
Tanya ke AiRIS
Yuk, cobain chat dan belajar bareng AiRIS, teman pintarmu!

LATIHAN SOAL GRATIS!
Drill Soal
Latihan soal sesuai topik yang kamu mau untuk persiapan ujian


Perdalam pemahamanmu bersama Master Teacher
di sesi Live Teaching, GRATIS!