Sorta S
05 April 2024 01:24
Iklan
Sorta S
05 April 2024 01:24
Pertanyaan
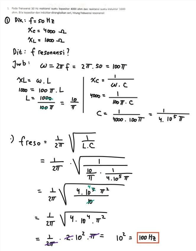
Gimana cara mencarinya

3
1
Iklan
Junaedy B
05 April 2024 08:18
Saya jawab pada lampiran. Silahkan lihat lampiran untuk langkah penyelesaiannya. Semoga membantu.

· 0.0 (0)
Iklan
Tanya ke AiRIS
Yuk, cobain chat dan belajar bareng AiRIS, teman pintarmu!

LATIHAN SOAL GRATIS!
Drill Soal
Latihan soal sesuai topik yang kamu mau untuk persiapan ujian


Perdalam pemahamanmu bersama Master Teacher
di sesi Live Teaching, GRATIS!