Ahmad F
07 Maret 2022 09:45
Iklan
Ahmad F
07 Maret 2022 09:45
Pertanyaan
2
1
Iklan
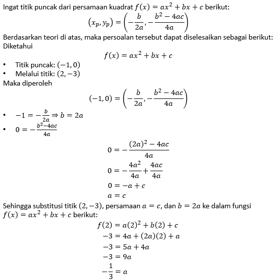
Z. Apriani
Mahasiswa/Alumni Institut Teknologi Bandung
07 Maret 2022 15:05
· 5.0 (1)
Ahmad F
10 Maret 2022 01:27
makasih kak
Iklan
Tanya ke AiRIS
Yuk, cobain chat dan belajar bareng AiRIS, teman pintarmu!

LATIHAN SOAL GRATIS!
Drill Soal
Latihan soal sesuai topik yang kamu mau untuk persiapan ujian


Perdalam pemahamanmu bersama Master Teacher
di sesi Live Teaching, GRATIS!