Edwin C
10 November 2021 04:16
Iklan
Edwin C
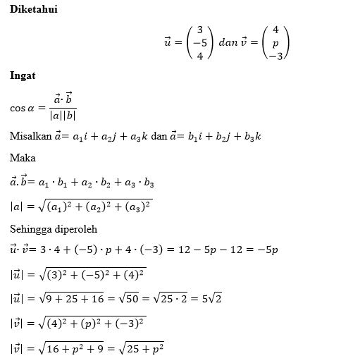
10 November 2021 04:16
Pertanyaan
3
1
Iklan
S. Solehuzain
Mahasiswa/Alumni Universitas Negeri Semarang
30 November 2021 00:23
· 3.4 (5)
Iklan
Tanya ke AiRIS
Yuk, cobain chat dan belajar bareng AiRIS, teman pintarmu!

LATIHAN SOAL GRATIS!
Drill Soal
Latihan soal sesuai topik yang kamu mau untuk persiapan ujian


Perdalam pemahamanmu bersama Master Teacher
di sesi Live Teaching, GRATIS!