Bungah R
24 Maret 2020 01:54
Iklan
Bungah R
24 Maret 2020 01:54
Pertanyaan
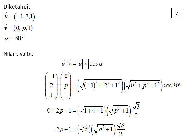
2
1
Iklan
T. Prita
Mahasiswa/Alumni Universitas Jember
27 Februari 2022 15:51
· 0.0 (0)
Iklan
Tanya ke AiRIS
Yuk, cobain chat dan belajar bareng AiRIS, teman pintarmu!

LATIHAN SOAL GRATIS!
Drill Soal
Latihan soal sesuai topik yang kamu mau untuk persiapan ujian


Perdalam pemahamanmu bersama Master Teacher
di sesi Live Teaching, GRATIS!