Evamardiana E
11 Oktober 2021 13:09
Iklan
Evamardiana E
11 Oktober 2021 13:09
Pertanyaan
1
1
Iklan
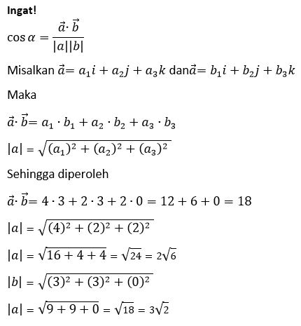
S. Solehuzain
Mahasiswa/Alumni Universitas Negeri Semarang
24 Oktober 2021 02:35
· 5.0 (2)
Iklan
Tanya ke AiRIS
Yuk, cobain chat dan belajar bareng AiRIS, teman pintarmu!

LATIHAN SOAL GRATIS!
Drill Soal
Latihan soal sesuai topik yang kamu mau untuk persiapan ujian


Perdalam pemahamanmu bersama Master Teacher
di sesi Live Teaching, GRATIS!