Iza F
01 Desember 2021 14:07
Iklan
Iza F
01 Desember 2021 14:07
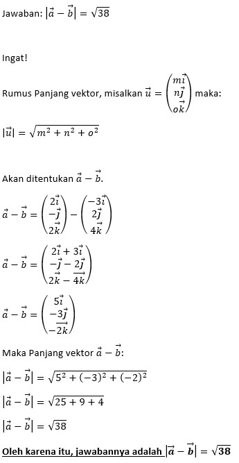
Pertanyaan
2
2
Iklan
R. Nul
Mahasiswa/Alumni Universitas Negeri Yogyakarta
10 Desember 2021 12:52

· 0.0 (0)
Iklan
ZIKRA A
01 November 2023 11:58
· 0.0 (0)
Tanya ke AiRIS
Yuk, cobain chat dan belajar bareng AiRIS, teman pintarmu!

LATIHAN SOAL GRATIS!
Drill Soal
Latihan soal sesuai topik yang kamu mau untuk persiapan ujian


Perdalam pemahamanmu bersama Master Teacher
di sesi Live Teaching, GRATIS!