Ramadillo B
21 November 2021 05:35
Iklan
Ramadillo B
21 November 2021 05:35
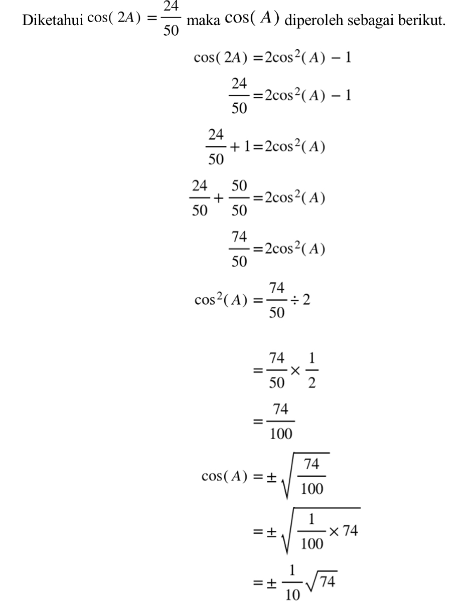
Pertanyaan
1
1
Iklan
R. Febrianti
Mahasiswa/Alumni Universitas Negeri Malang
28 November 2021 17:14



· 0.0 (0)
Iklan
Tanya ke AiRIS
Yuk, cobain chat dan belajar bareng AiRIS, teman pintarmu!

LATIHAN SOAL GRATIS!
Drill Soal
Latihan soal sesuai topik yang kamu mau untuk persiapan ujian


Perdalam pemahamanmu bersama Master Teacher
di sesi Live Teaching, GRATIS!