Mino M
01 Juli 2022 05:24
Iklan
Mino M
01 Juli 2022 05:24
Pertanyaan
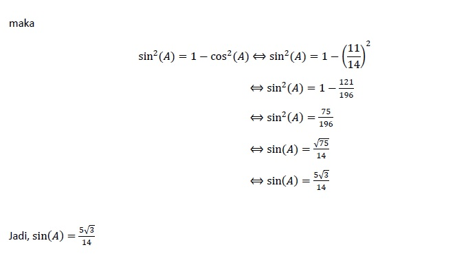
1
1
Iklan
B. Yonathan
02 Juli 2022 02:58


· 4.0 (1)
Iklan
Tanya ke AiRIS
Yuk, cobain chat dan belajar bareng AiRIS, teman pintarmu!

LATIHAN SOAL GRATIS!
Drill Soal
Latihan soal sesuai topik yang kamu mau untuk persiapan ujian


Perdalam pemahamanmu bersama Master Teacher
di sesi Live Teaching, GRATIS!