Ancika A
07 April 2023 09:13
Iklan
Ancika A
07 April 2023 09:13
Pertanyaan
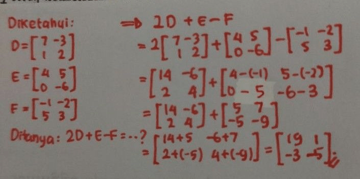
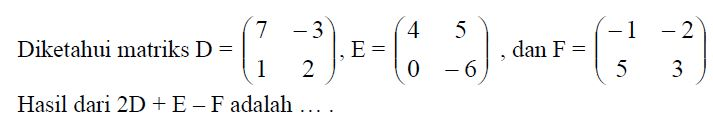
diketahui matriks d = (7 -3 1 2), e = (4 5 0 -6), dan f = (-1 -2 5 3). hasil dari 2d + e – f adalah = ...
1
2
Iklan
Nanda R

Community
07 April 2023 12:25
semoga membantu.

· 5.0 (1)
Ancika A
07 April 2023 14:27
terimakasih banyak, sangat membantu ! ^^
Iklan
Maulida M
06 Maret 2024 17:03
Saya gatauu
· 0.0 (0)
Tanya ke AiRIS
Yuk, cobain chat dan belajar bareng AiRIS, teman pintarmu!

LATIHAN SOAL GRATIS!
Drill Soal
Latihan soal sesuai topik yang kamu mau untuk persiapan ujian


Perdalam pemahamanmu bersama Master Teacher
di sesi Live Teaching, GRATIS!