Ofi N
07 Januari 2020 13:25
Iklan
Ofi N
07 Januari 2020 13:25
Pertanyaan
6
1
Iklan
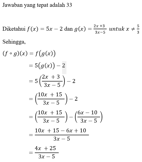
A. Khairunisa
Mahasiswa/Alumni Universitas Negeri Semarang
02 Januari 2022 10:05
· 3.0 (1)
Iklan
Tanya ke AiRIS
Yuk, cobain chat dan belajar bareng AiRIS, teman pintarmu!

LATIHAN SOAL GRATIS!
Drill Soal
Latihan soal sesuai topik yang kamu mau untuk persiapan ujian


Perdalam pemahamanmu bersama Master Teacher
di sesi Live Teaching, GRATIS!