Petra T
25 September 2023 12:51
Iklan
Petra T
25 September 2023 12:51
Pertanyaan
3
2
Iklan
Sumber W

Community
25 September 2023 13:01
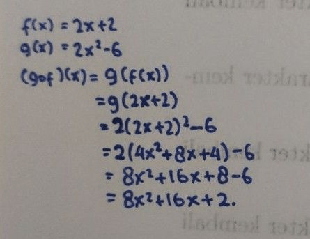
f(x) = 2x + 2
g(x)= 2x²- 6
(g o f)(x) = 2(2x + 2)2 - 6
= 2(4x2 + 8x + 4) - 6
= 8x2 + 16x + 8 - 6
= 8x2 + 16x + 2
· 3.0 (2)
Petra T
25 September 2023 13:06
Thanks boy
Iklan
Nanda R

Community
25 September 2023 13:22
jawabannya adalah

· 0.0 (0)
Tanya ke AiRIS
Yuk, cobain chat dan belajar bareng AiRIS, teman pintarmu!

LATIHAN SOAL GRATIS!
Drill Soal
Latihan soal sesuai topik yang kamu mau untuk persiapan ujian


Perdalam pemahamanmu bersama Master Teacher
di sesi Live Teaching, GRATIS!