Ptri S
11 Februari 2020 04:09
Iklan
Ptri S
11 Februari 2020 04:09
Pertanyaan
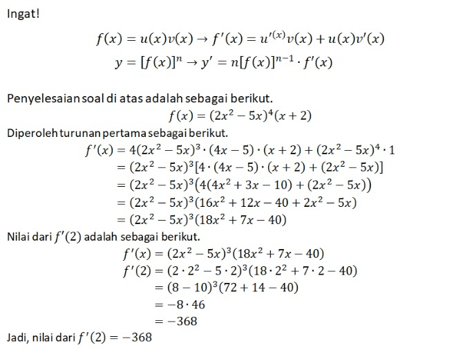
1
1
Iklan
H. Eka
Mahasiswa/Alumni Universitas Pendidikan Indonesia
17 Januari 2022 01:53

· 0.0 (0)
Iklan
Tanya ke AiRIS
Yuk, cobain chat dan belajar bareng AiRIS, teman pintarmu!

LATIHAN SOAL GRATIS!
Drill Soal
Latihan soal sesuai topik yang kamu mau untuk persiapan ujian


Perdalam pemahamanmu bersama Master Teacher
di sesi Live Teaching, GRATIS!