Riani S
11 Agustus 2022 05:09
Iklan
Riani S
11 Agustus 2022 05:09
Pertanyaan
8
4
Iklan
V. Fitri
Mahasiswa/Alumni Universitas Tarumanagara
06 Oktober 2022 02:28
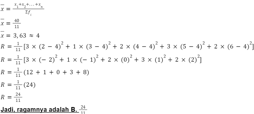
Jawaban: B. 24/11
Konsep dan pembahasan terlampir di gambar


· 5.0 (3)
Iklan
Ahmad F
21 Februari 2024 12:07
· 0.0 (0)
Ahmad F
21 Februari 2024 12:07
· 0.0 (0)
Ahmad F
21 Februari 2024 12:15
· 0.0 (0)
Tanya ke AiRIS
Yuk, cobain chat dan belajar bareng AiRIS, teman pintarmu!

LATIHAN SOAL GRATIS!
Drill Soal
Latihan soal sesuai topik yang kamu mau untuk persiapan ujian


Perdalam pemahamanmu bersama Master Teacher
di sesi Live Teaching, GRATIS!