Yesica E
13 April 2023 12:17
Iklan
Yesica E
13 April 2023 12:17
Pertanyaan
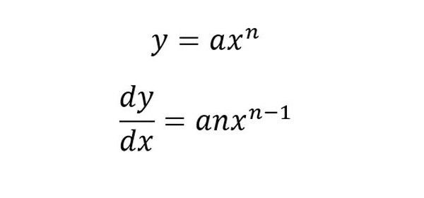
cari turunan fungsi f(x)= x⁵-2x⁴+x³+5x²+7x-9
2
2
Iklan
Tisna L
13 April 2023 13:05

· 0.0 (0)
Iklan
Rahmah C
13 April 2023 22:03
· 0.0 (0)
Tanya ke AiRIS
Yuk, cobain chat dan belajar bareng AiRIS, teman pintarmu!

LATIHAN SOAL GRATIS!
Drill Soal
Latihan soal sesuai topik yang kamu mau untuk persiapan ujian


Perdalam pemahamanmu bersama Master Teacher
di sesi Live Teaching, GRATIS!