Hana S
02 Februari 2023 15:39
Iklan
Hana S
02 Februari 2023 15:39
Pertanyaan
Caranya bagaimana?

2
1
Iklan
Owen.SesepuhRG O

Community
02 Februari 2023 16:30
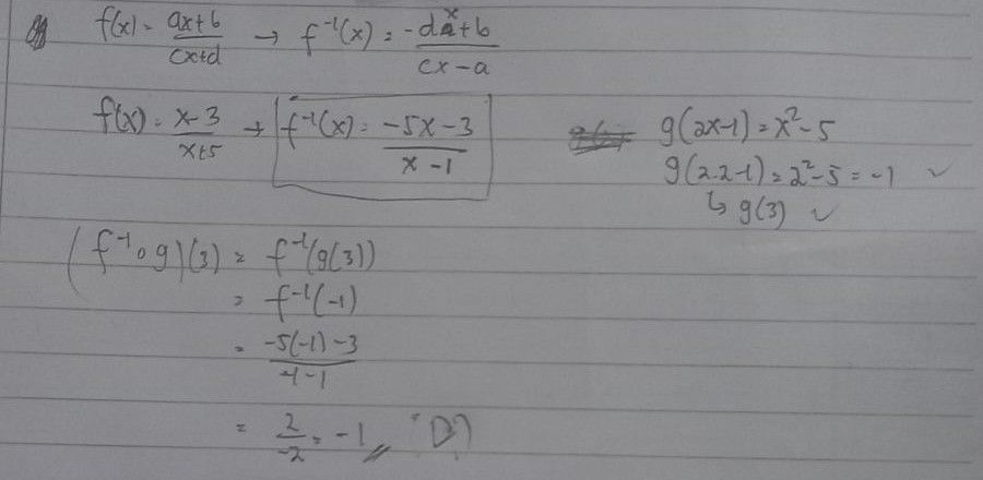
Berikut pembahasannya, semoga membantu yah. Jangan lupa bintang 5 nya :D

· 5.0 (2)
24_Naswa A
13 Mei 2024 04:11
yang g(2x-1) jadi g(2.2-1) dari mana kak?
Iklan
Tanya ke AiRIS
Yuk, cobain chat dan belajar bareng AiRIS, teman pintarmu!

LATIHAN SOAL GRATIS!
Drill Soal
Latihan soal sesuai topik yang kamu mau untuk persiapan ujian


Perdalam pemahamanmu bersama Master Teacher
di sesi Live Teaching, GRATIS!