Ora S
31 Januari 2022 02:59
Iklan
Ora S
31 Januari 2022 02:59
Pertanyaan
3
1
Iklan
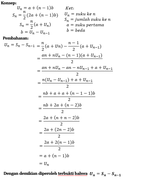
Y. Pratiwi
Mahasiswa/Alumni Universitas Negeri Makassar
01 Februari 2022 13:52
· 3.7 (3)
Iklan
Tanya ke AiRIS
Yuk, cobain chat dan belajar bareng AiRIS, teman pintarmu!

LATIHAN SOAL GRATIS!
Drill Soal
Latihan soal sesuai topik yang kamu mau untuk persiapan ujian


Perdalam pemahamanmu bersama Master Teacher
di sesi Live Teaching, GRATIS!