Nabila N
07 Februari 2022 11:14
Iklan
Nabila N
07 Februari 2022 11:14
Pertanyaan
12
1
Iklan
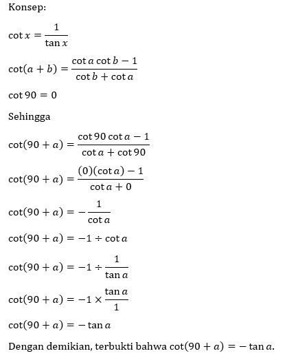
S. Eka
Mahasiswa/Alumni Universitas Pendidikan Indonesia
07 Februari 2022 17:15
· 0.0 (0)
Iklan
Tanya ke AiRIS
Yuk, cobain chat dan belajar bareng AiRIS, teman pintarmu!

LATIHAN SOAL GRATIS!
Drill Soal
Latihan soal sesuai topik yang kamu mau untuk persiapan ujian


Perdalam pemahamanmu bersama Master Teacher
di sesi Live Teaching, GRATIS!