Citra S
21 Februari 2022 04:41
Iklan
Citra S
21 Februari 2022 04:41
Pertanyaan
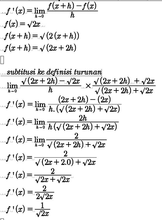
1
2
Iklan
D. RIANA
Mahasiswa/Alumni Universitas Negeri Semarang
22 Februari 2022 05:35

· 0.0 (0)
Iklan
T H
21 Februari 2022 04:44
· 0.0 (0)
Citra S
21 Februari 2022 04:50
🧐 kok ga nyambung ya
Tanya ke AiRIS
Yuk, cobain chat dan belajar bareng AiRIS, teman pintarmu!

LATIHAN SOAL GRATIS!
Drill Soal
Latihan soal sesuai topik yang kamu mau untuk persiapan ujian


Perdalam pemahamanmu bersama Master Teacher
di sesi Live Teaching, GRATIS!