Indra I
03 Oktober 2022 07:31
Iklan
Indra I
03 Oktober 2022 07:31
Pertanyaan
1
1
Iklan
D. Nuryani
Mahasiswa/Alumni Universitas Padjadjaran
09 November 2022 03:22
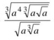
Jawaban : root 6(a^5)
Sifat bilangan eksponen:
▪️ ^m √ (a^n) = a^(n/m)
▪️ a^m x a^n = a^(m + n)
▪️ a^m : a^n = a^(m - n)
Penyelesaian
³√(a4 ³√(a√a))/√(a ³√a)
= ³√(a4 ³√(a.a1/2))/√(a .a1/3)
= ³√(a4 ³√(a3/2)/√(a4/3)
= ³√(a4 a3/2.1/3)/(a4/3.1/2)
= ³√(a4 a3/6)/(a4/6)
= ³√(a9/2)/(a2/3)
= (a9/2.1/3)/(a2/3)
= (a9/6)/(a2/3)
= a^(9/6 - 2/3)
= a^(9/6 - 4/6)
= a^(5/6)
= ^6√(a^5)
Jadi, hasil yang tepat adalah ^6√(a^5).
· 0.0 (0)
Iklan
Tanya ke AiRIS
Yuk, cobain chat dan belajar bareng AiRIS, teman pintarmu!

LATIHAN SOAL GRATIS!
Drill Soal
Latihan soal sesuai topik yang kamu mau untuk persiapan ujian


Perdalam pemahamanmu bersama Master Teacher
di sesi Live Teaching, GRATIS!