Jauharah S
17 November 2021 00:28
Iklan
Jauharah S
17 November 2021 00:28
Pertanyaan
39
1
Iklan
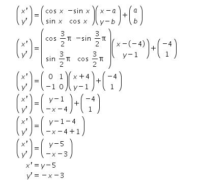
M. Nasrullah
Mahasiswa/Alumni Universitas Negeri Makassar
28 November 2021 09:01
· 4.3 (6)
Iklan
Tanya ke AiRIS
Yuk, cobain chat dan belajar bareng AiRIS, teman pintarmu!

LATIHAN SOAL GRATIS!
Drill Soal
Latihan soal sesuai topik yang kamu mau untuk persiapan ujian


Perdalam pemahamanmu bersama Master Teacher
di sesi Live Teaching, GRATIS!