Orang C
02 Agustus 2023 13:14
Iklan
Orang C
02 Agustus 2023 13:14
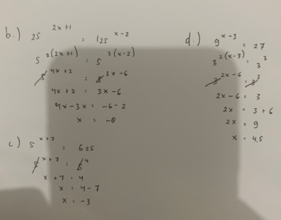
Pertanyaan
bantu jawabbb besok di kumpulll

2
1
Iklan
Sandra U
02 Agustus 2023 14:44
.

· 5.0 (2)
Iklan
Tanya ke AiRIS
Yuk, cobain chat dan belajar bareng AiRIS, teman pintarmu!

LATIHAN SOAL GRATIS!
Drill Soal
Latihan soal sesuai topik yang kamu mau untuk persiapan ujian


Perdalam pemahamanmu bersama Master Teacher
di sesi Live Teaching, GRATIS!