Raihan D
08 April 2023 23:09
Iklan
Raihan D
08 April 2023 23:09
Pertanyaan
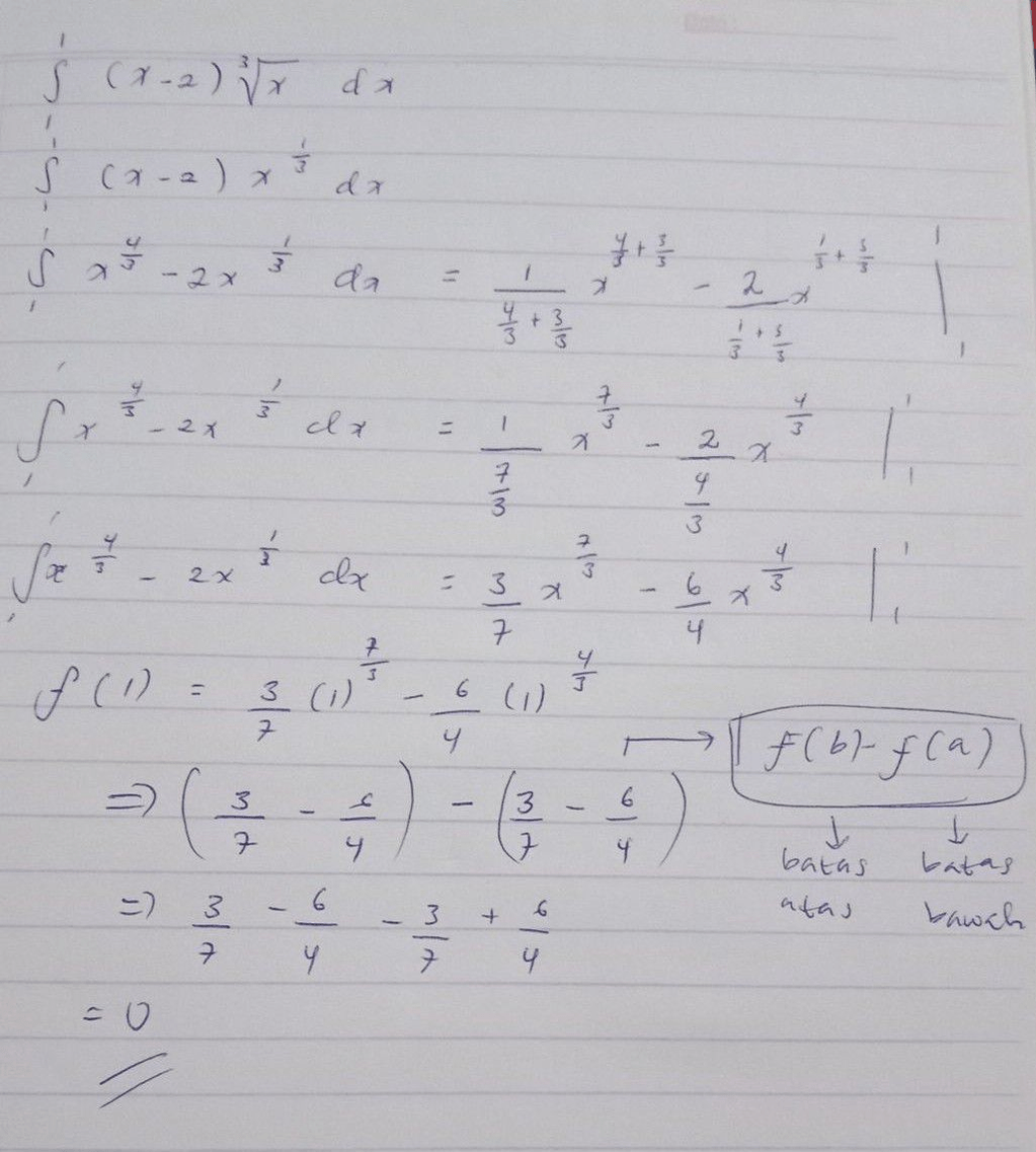
Bantu jawab donk kak

2
1
Iklan
Hernawati H
08 Juni 2023 14:25
aku juga masi belajar ^^, cmiiw

· 0.0 (0)
Iklan
Tanya ke AiRIS
Yuk, cobain chat dan belajar bareng AiRIS, teman pintarmu!

LATIHAN SOAL GRATIS!
Drill Soal
Latihan soal sesuai topik yang kamu mau untuk persiapan ujian


Perdalam pemahamanmu bersama Master Teacher
di sesi Live Teaching, GRATIS!