Sakhi S
13 September 2023 11:31
Iklan
Sakhi S
13 September 2023 11:31
Pertanyaan

1
2
Iklan
Rezky Y
13 September 2023 11:50
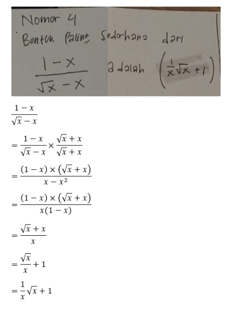
Terlampir.

· 5.0 (2)
Sakhi S
13 September 2023 12:09
Makasih banyak kak
Iklan
Nadhila S
13 September 2023 12:35
Jawaban 2,73
· 5.0 (1)
Nadhila S
13 September 2023 12:35
Maaf kak kalau salah
Tanya ke AiRIS
Yuk, cobain chat dan belajar bareng AiRIS, teman pintarmu!

LATIHAN SOAL GRATIS!
Drill Soal
Latihan soal sesuai topik yang kamu mau untuk persiapan ujian


Perdalam pemahamanmu bersama Master Teacher
di sesi Live Teaching, GRATIS!