Hafizha A
24 Oktober 2023 00:43
Iklan
Hafizha A
24 Oktober 2023 00:43
Pertanyaan
1
1
Iklan
Sahel S
24 Oktober 2023 03:27
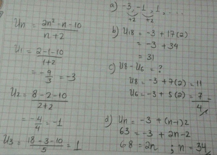
Jawaban ada di lampiran

· 5.0 (1)
Iklan
Tanya ke AiRIS
Yuk, cobain chat dan belajar bareng AiRIS, teman pintarmu!

LATIHAN SOAL GRATIS!
Drill Soal
Latihan soal sesuai topik yang kamu mau untuk persiapan ujian


Perdalam pemahamanmu bersama Master Teacher
di sesi Live Teaching, GRATIS!