Revalda B
31 Oktober 2023 00:34
Iklan
Revalda B
31 Oktober 2023 00:34
Pertanyaan
1
2
Iklan
Sumber W

Community
31 Oktober 2023 00:51
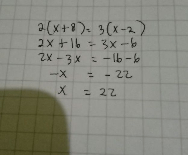
2 (x+8) = 3 (x-2)
2x + 16 = 3x - 6
2x - 3x = -6 - 16
-x = -22
x = 22
Nilai x adalah 22
· 0.0 (0)
Iklan
Maudy A
31 Oktober 2023 15:15
Semoga membantu 🙏☺️

· 0.0 (0)
Tanya ke AiRIS
Yuk, cobain chat dan belajar bareng AiRIS, teman pintarmu!

LATIHAN SOAL GRATIS!
Drill Soal
Latihan soal sesuai topik yang kamu mau untuk persiapan ujian


Perdalam pemahamanmu bersama Master Teacher
di sesi Live Teaching, GRATIS!