Lutfi L
01 Agustus 2025 13:28
Iklan
Lutfi L
01 Agustus 2025 13:28
Pertanyaan
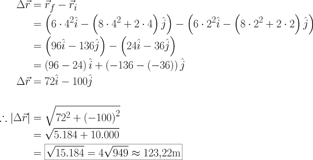
1. Vektor posisi suatu benda diberikan oleh r = 6t²i - (8t² + 2t)j ; t dalam sekon dan r dalam meter. Tentukan besar perpindahan benda dari t = 2 s sampai t = 4 s
4
1
Iklan
Patrick H
02 Agustus 2025 01:17
*Jawaban terlampir.

· 0.0 (0)
Iklan
Tanya ke AiRIS
Yuk, cobain chat dan belajar bareng AiRIS, teman pintarmu!

LATIHAN SOAL GRATIS!
Drill Soal
Latihan soal sesuai topik yang kamu mau untuk persiapan ujian


Perdalam pemahamanmu bersama Master Teacher
di sesi Live Teaching, GRATIS!