INTAN I
29 Agustus 2023 12:32
Iklan
INTAN I
29 Agustus 2023 12:32
Pertanyaan
Tertukan hasil dari:

1
2
Iklan
Tjendana T

Community
29 Agustus 2023 23:27
Pembahasan
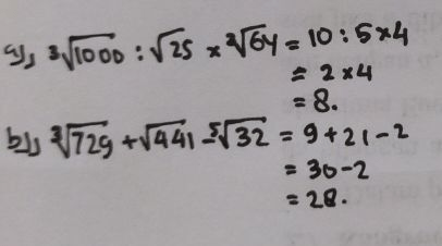
a.
³√1000 : √25 × ³√64 = ³√10³ : √5² × √4³
= 10 : 5 × 4
= 8
b.
³√729 + √441 - 5√32 = ³√9³ + √21² - 5√25
= 9 + 21 - 2
= 28
· 0.0 (0)
Iklan
Nanda R

Community
18 September 2023 07:13
jawabannya adalah

· 0.0 (0)
Tanya ke AiRIS
Yuk, cobain chat dan belajar bareng AiRIS, teman pintarmu!

LATIHAN SOAL GRATIS!
Drill Soal
Latihan soal sesuai topik yang kamu mau untuk persiapan ujian


Perdalam pemahamanmu bersama Master Teacher
di sesi Live Teaching, GRATIS!