Eni N
30 Januari 2023 16:13
Iklan
Eni N
30 Januari 2023 16:13
Pertanyaan
1
1
Iklan
S. Amamah
Mahasiswa/Alumni Universitas Negeri Malang
26 September 2023 09:17
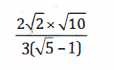
Jawaban: (15 + √5)/11
Ingat!
a/(a+√b) = a/(a+√b) x(a-√b)/(a-√b)
maka
(2√2 x√10)/(3√5 - 1)
=(2√20)/(3√5 - 1) x (3√5 + 1)/(3√5 + 1)
= (2√20 (3√5 + 1))/(9x5 - 1)
= (6√100 + 2√20)/(44)
= (6x10 +2x2√5)/(44)
=(60 + 4√5)/(44)
= (15 + √5)/11
Dengan demikian hasil nya adalah (15 + √5)/11
· 0.0 (0)
Iklan
Tanya ke AiRIS
Yuk, cobain chat dan belajar bareng AiRIS, teman pintarmu!

LATIHAN SOAL GRATIS!
Drill Soal
Latihan soal sesuai topik yang kamu mau untuk persiapan ujian


Perdalam pemahamanmu bersama Master Teacher
di sesi Live Teaching, GRATIS!