Marina S
30 Januari 2023 16:13
Iklan
Marina S
30 Januari 2023 16:13
Pertanyaan
1
1
Iklan
S. Agita
26 September 2023 13:05
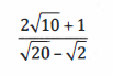
Jawaban yang benar adalah (21√2 + 6√5)/18.
Pembahasan terkait operasi hitung pada soal di atas akan dijelaskan pada gambar yang terlampir.
· 0.0 (0)
Iklan
Tanya ke AiRIS
Yuk, cobain chat dan belajar bareng AiRIS, teman pintarmu!

LATIHAN SOAL GRATIS!
Drill Soal
Latihan soal sesuai topik yang kamu mau untuk persiapan ujian


Perdalam pemahamanmu bersama Master Teacher
di sesi Live Teaching, GRATIS!