Mino M

15 Januari 2022 07:33

Iklan

Mino M

15 Januari 2022 07:33

Pertanyaan

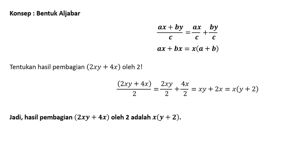
Tentukan hasil pembagian (2xy+4x) oleh 2!

Ikuti Tryout SNBT & Menangkan E-Wallet 100rb

Habis dalam

01

:

17

:

54

:

13

Klaim

34

1

Jawaban terverifikasi

Iklan

Assessment C

01 Februari 2022 13:57

Jawaban terverifikasi

Halo Mino, kaka bantu jawab ya :) Jawaban : x(y+2) silahkan perhatikan penjelasan berikut ya

alt

Iklan

Mau pemahaman lebih dalam untuk soal ini?

Tanya ke AiRIS

Yuk, cobain chat dan belajar bareng AiRIS, teman pintarmu!

Chat AiRIS

LATIHAN SOAL GRATIS!

Drill Soal

Latihan soal sesuai topik yang kamu mau untuk persiapan ujian

Cobain Drill Soal

Perdalam pemahamanmu bersama Master Teacher
di sesi Live Teaching, GRATIS!

Pertanyaan serupa

Dari himpunan pasangan berurutan berikut.manakah yang kemungkinan merupakan ko- respondensi satu-satu? a. {(1, 1), (2, 2), (3, 3), (4,4)} b. {(1, 2), (2, 3), (3, 4). (4,5)} c. {(2,7). (4,8). (6,9). (8,7)} d. {(3.4), (5,7). (7, 9). (9,6)}

88

4.0

Jawaban terverifikasi